egfr20ins突变靶向药,JMT101+奥希替尼强强联合,肺癌耐药控病率95%
EGFR外显子20插入(20ins)是表皮生长因子受体(EGFR)第三常见的激活突变,约占EGFR依赖性非小细胞肺癌(NSCLC)病例的10%-12%。与能从酪氨酸激酶抑制剂(TKI)获益的经典EGFR突变不同,EGFR 20ins对早期EGFRTKI存在明确耐药性,此前长期被视为“不可靶向”,导致患者治疗手段匮乏、预后不佳。
JMT101(抗EGFR单克隆抗体)联合奥希替尼的双靶向方案,为这类耐药患者带来了突破性治疗希望。全球知名期刊《自然通讯》发表的1b期临床研究(NCT04448379)显示,该联合疗法的疾病控制率高达95.0%,标志着这类肺癌的精准治疗迈入全新阶段,未来必将有更多患者借助这一创新方案改写抗癌命运!

▲截图源自“Nat Commun”
JMT101+奥希替尼暴击突破EGFR 20ins肺癌,疾病控制率高达95%,超四成患者无进展生存超1年
《自然通讯》报道的这项1b期临床试验(NCT04448379),共纳入150例EGFR 20ins阳性晚期非小细胞肺癌(NSCLC)患者,其中121例接受JMT101+奥希替尼联合治疗。
结果显示:经独立审查委员会(IRC)评估,该联合疗法的确认客观缓解率(ORR)为36.4%(44/121,95%CI:27.8–45.6),疾病控制率(DCR)高达95.0%(115/121,95%CI:89.5–98.2)(详见下图)。

▲图源“Nat Commun”,版权归原作者所有,如无意中侵犯了知识产权,请联系我们删除
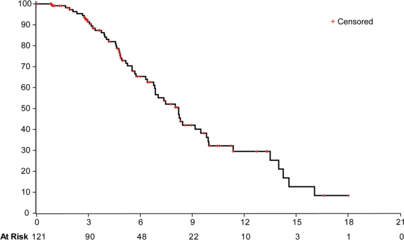
中位随访9.1个月,疗效人群的中位无进展生存期(PFS)为8.2个月(95%CI:6.8–9.5,详见下图);6个月、9个月、12个月无进展生存率(PFS)分别为65.3%(95%CI:54.5–74.2)、42.0%(95%CI:30.5–53.2)、29.5%(95%CI:18.4–41.5)。

▲图源“Nat Commun”,版权归原作者所有,如无意中侵犯了知识产权,请联系我们删除
新一代EGFR抑制剂JMT101上市在即!国内多中心启动临床
相信看了上面的数据,EGFR ex20ins突变的肺癌或其他实体瘤患者,一定燃起了新的希望!好消息是,目前我国正在开展EGFR突变型突变实体瘤的临床研究,现已有大量患者通过抗癌新药招募中心,成功入组接受这款抗癌新药的治疗!
新药简介
1)药品名称:JMT101。
2)治疗靶点:Ⅲ期。
3)适用人群:一线治疗失败的EGFR ex20ins突变的晚期非小细胞肺癌。
招募信息(部分)
1)年龄≥18周岁且≤75周岁,性别不限。
2)必须有经组织学或细胞学确诊的EGFR ex20ins突变的ⅢB-IV期非小细胞肺癌(NSCLC)*,不适合接受根治性手术或放疗
3)ECOG体能状态评分:0或1分。
申请流程
想申请抗癌新药临床试验的患者,需将近期病理报告、基因检测报告等资料汇总后,提交至医学部,进行初步评估。
我们的专家将为您全面分析解读检测报告,预计一个工作日内电话联系推荐用药方案,并匹配适合患者入组的临床试验项目。注:作为国内权威的肿瘤患者服务平台,我们承诺对所有受试者的个人信息保密,并保证在整个过程中,遵循国家临床研究相关的法律法规。
小编寄语
近年来,肺癌的治疗已经取得了长足的进展,逆转了晚期患者的生存期,除了上面整理的内容,还有更多的新药正在研发中。如果您对现有治疗方案不满意,或想了解肺癌更多抗癌新药/新技术的更多讯息,可将治疗经历、近期病理检查报告、出院小结等,提交至医学部,进行初步评估。
参考资料
[1]Zhao S,et al.Phase 1b trial of anti-EGFR antibody JMT101 and Osimertinib in EGFR exon 20 insertion-positive non-small-cell lung cancer[J]. Nature communications, 2023, 14(1): 3468.
https://www.nature.com/articles/s41467-023-39139-4





















