个体化mRNA癌症疫苗BNT122(Autogene Cevumeran、RO7198457)帮患者肿瘤缩小近10倍,多癌种晚期患者获益显著
2025年全球权威期刊《Nature Medicine》发表了一款新型mRNA疫苗——cevumeran针对经治晚期实体瘤的1期GO39733临床研究(NCT03289962)的振奋数据,这一突破不仅为个体化新抗原疫苗的临床转化提供了关键支撑,更给历经多线治疗的晚期实体瘤患者带来了精准免疫治疗的全新曙光,有望开启肿瘤个体化防治的崭新篇章!

▲截图源自“Nat Med”
Cevumeran mRNA疫苗为晚期实体瘤患者带来生存突破:最高33.3%缓解率,肿瘤缩小近10倍+存活超3年
Autogenecevumeran(通用名:cevumeran,研发代号:BNT122、RO7198457)是一款基于尿苷信使RNA脂质体复合物的个体化新抗原特异性免疫疗法,可编码20余种特异性新抗原。该疗法依据患者肿瘤组织的肿瘤特异性体细胞突变数据定制设计,旨在刺激机体产生针对多达20种新抗原的T细胞应答,从而精准降低肿瘤复发风险、有效延长患者生存时间。
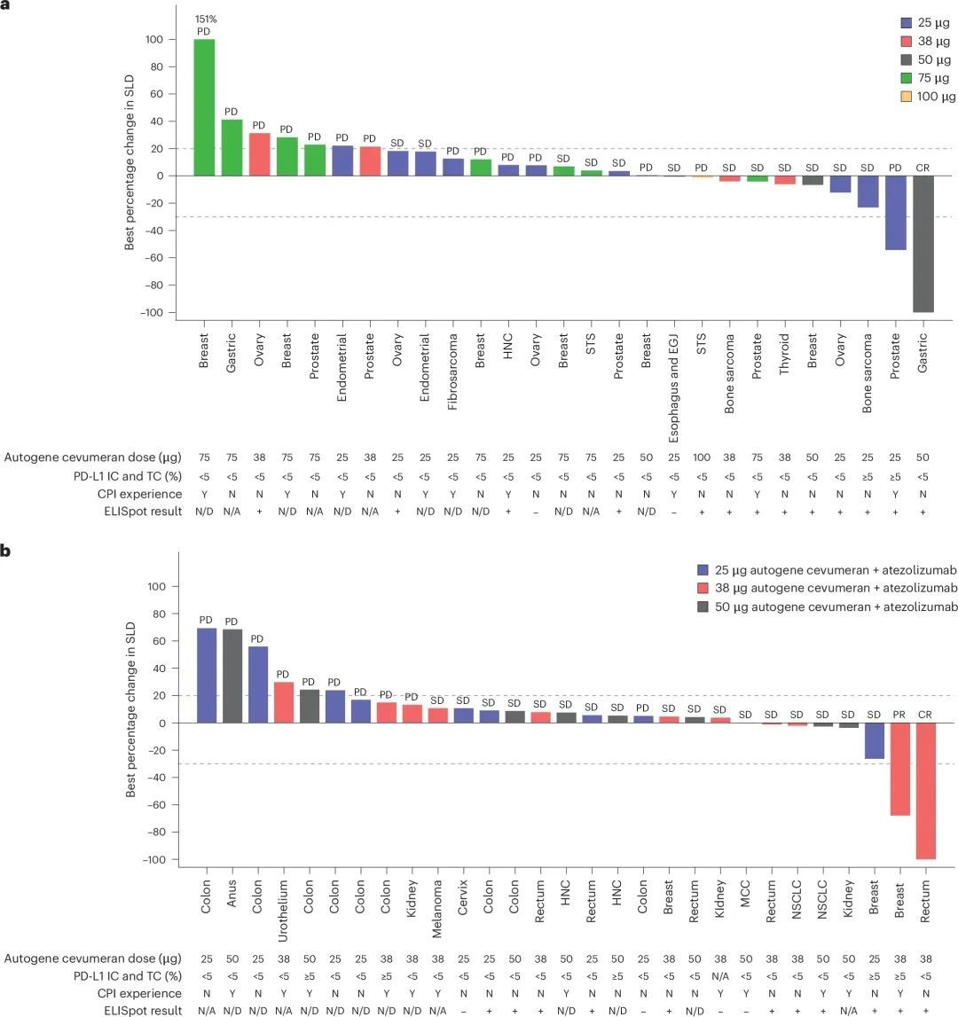
《Nature Medicine》刊载的1期GO39733临床研究(NCT03289962)共纳入213例局部晚期、转移性或复发性不可治愈的恶性实体瘤患者,涵盖乳腺癌、黑色素瘤、肾细胞癌、尿路上皮癌、非小细胞肺癌、直肠癌等癌种,所有患者均在至少一种标准疗法治疗后病情进展。入组患者分为两组,分别接受cevumeran单药治疗(n=30)或cevumeran联合阿替利珠单抗治疗(n=183)。
▼1期研究设计和患者处置

▲图源“Nat Med”,版权归原作者所有,如无意中侵犯了知识产权,请联系我们删除
研究结果显示:在检查点抑制剂(CPI)初治的扩展队列中,不同癌种的客观缓解率(ORR)分别为:黑色素瘤(n=9)的ORR为33.3%、肾细胞癌(RCC,n=12)的ORR为33.3%、尿路上皮癌(UC,n=11)的ORR为18.2%、非小细胞肺癌(NSCLC,n=10)的ORR为10.0%。

▲图源“Nat Med”,版权归原作者所有,如无意中侵犯了知识产权,请联系我们删除
值得一提的是,其中三个典型案例的治疗表现尤为亮眼:
①三阴性乳腺癌患者(患者13):存在PD-L1突变,既往经纳武单抗治疗后进展,入组接受cevumeran联合阿替利珠单抗治疗后达到部分缓解(PR),肺转移瘤体积缩小,缓解持续时间达9.9个月(详见下图)。

▲图源“Nat Med”,版权归原作者所有,如无意中侵犯了知识产权,请联系我们删除
②直肠癌患者(患者21):微卫星稳定且PD-L1低表达,经两线治疗后肺部存在1.1cm靶病灶及非靶病灶;接受9剂cevumeran联合阿替利珠单抗治疗后,实现奇迹般的完全缓解(CR),缓解持续时间达8.2个月;截至数据统计时,该患者已存活超3年(40.7个月)(详见下图)。

▲图源“Nat Med”,版权归原作者所有,如无意中侵犯了知识产权,请联系我们删除
③肾癌患者(患者38):入组前已接受含纳武单抗在内的4种全身治疗,研究初期病情进展,后续转为部分缓解(PR);其胸膜靶病灶基线最长直径总和(SLD)为108mm,13个月后缩小至10mm,肿瘤体积显著缩小近10倍(详见下图)。

▲图源“Nat Med”,版权归原作者所有,如无意中侵犯了知识产权,请联系我们删除
小编寄语
mRNA癌症疫苗作为癌症疫苗领域的一股清流,既能刺激强烈的免疫反应,又能降低不良反应,增强抵抗癌症的能力!整体来看,2025年国研mRNA癌症疫苗不仅在临床试验数据上实现重大突破,更在国际认可、临床落地和技术创新上全面发力,为癌症患者带来了兼具精准性、安全性和可及性的治疗新希望。
以针对肝细胞癌的LK101为例,其首次人体临床研究(NCT03674073)中,12名入组患者生存期均超过4年!小编也希望,随着癌症疫苗研究的不断深入,未来可以造福更多的患者!想寻求mRNA癌症疫苗、树突细胞(DC)疫苗、古巴肺癌疫苗等新技术帮助的患者,可将近期病理报告、治疗经历、影像学资料等,提交到医学部,进行初步评估或申请国际/国内抗癌专家会诊。
参考资料
[1]Lopez J,et al.Autogene cevumeran with or without atezolizumab in advanced solid tumors: a phase 1 trial[J]. Nature Medicine, 2025: 1-13.
https://www.nature.com/articles/s41591-024-03334-7





















